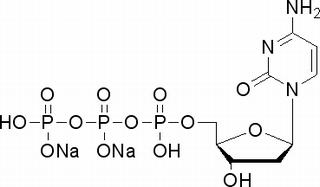
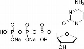
中文名稱 : 2′-脫氧胞苷-5′-三磷酸二鈉鹽
其他中文名稱 : 三磷酸脫氧胞苷鈉鹽
英文名稱 : dCTP,2Na
其他英文名稱 : 2′-Deoxycytidine-5′-triphosphate disodium salt
產品規格 : 超純,98%
產品規格 : BR,100mM
C A S :102783-51-7
C9H14N3Na2O13P3=511.12
級 別 :Ultra Pure Grade
含 量 :≥98.0%
水 分 :≤10.0%
級 別 :Biotech grade
濃 度 :100mM
P H :7.0
性 狀 :液體
性 狀 :白色粉末
用 途 :生化研究,組成DNA的核苷酸
保 存 :-20℃
